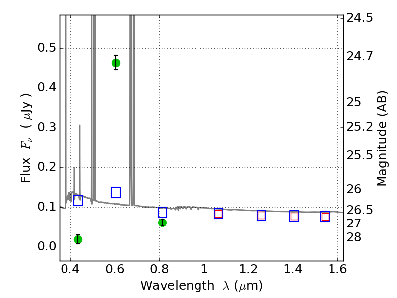
ABELLS295 ACS+IR detection object #4162

Color images and BPZ results
Catalog: 4162.cat
Black segments are analyzed here.   Roll mouse over color images to view segments.
Best viewed in a wide browser window (1200 pixels or more).   Download SED & P(z) plots to view larger versions.
In P(z) plots: Yellow lines mark the cluster redshift z = 0.300,  

Object #4162   x,y = (609, 2028)   RA, Dec = (02:45:42.120, -53:02:55.32) = (41.42550, -53.04870)   BPZ = 0.017 [0.010--0.045]   type = 11.00 (SB11_A_0_l)   chisq2 = 312.49   ODDS = 0.99   z_cluster = 0.300