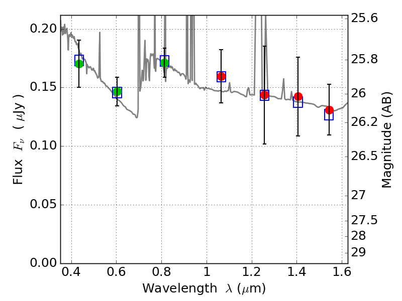
ABELLS295 ACS+IR detection object #4121

Color images and BPZ results
Catalog: 4121.cat
Black segments are analyzed here.   Roll mouse over color images to view segments.
Best viewed in a wide browser window (1200 pixels or more).   Download SED & P(z) plots to view larger versions.
In P(z) plots: Yellow lines mark the cluster redshift z = 0.300,  

Object #4121   x,y = (1973, 2047)   RA, Dec = (02:45:33.024, -53:02:54.24) = (41.38760, -53.04840)   BPZ = 0.884 [0.434--1.114]   type = 10.80 (SB11_A_0_l - SB3_B10)   chisq2 = 0.02   ODDS = 0.31   z_cluster = 0.300