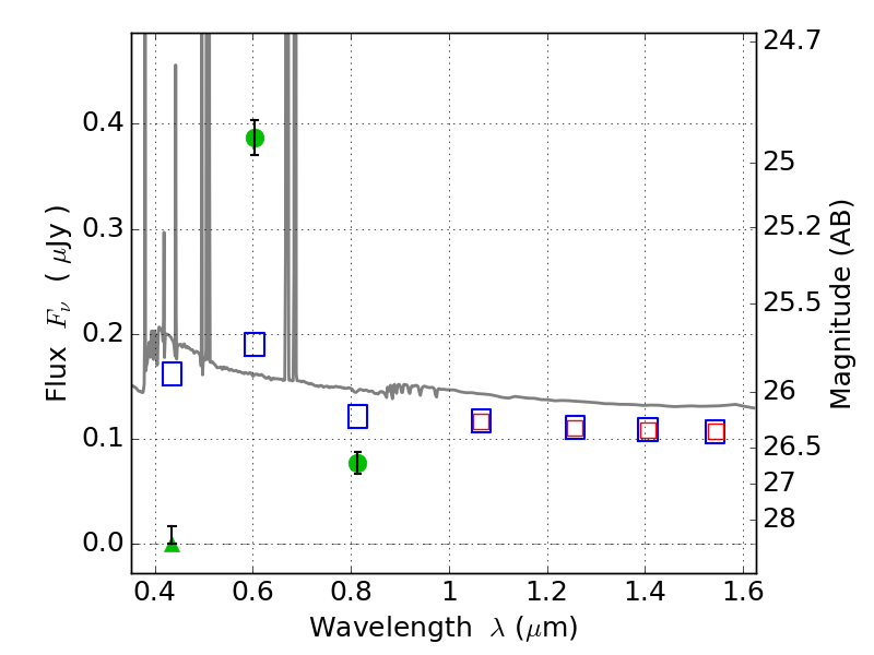
ABELLS295 ACS+IR detection object #3925

Color images and BPZ results
Catalog: 3925.cat
Black segments are analyzed here.   Roll mouse over color images to view segments.
Best viewed in a wide browser window (1200 pixels or more).   Download SED & P(z) plots to view larger versions.
In P(z) plots: Yellow lines mark the cluster redshift z = 0.300,  

Object #3925   x,y = (4269, 2214)   RA, Dec = (02:45:17.760, -53:02:44.16) = (41.32400, -53.04560)   BPZ = 0.017 [0.010--0.042]   type = 11.00 (SB11_A_0_l)   chisq2 = 157.51   ODDS = 0.99   z_cluster = 0.300