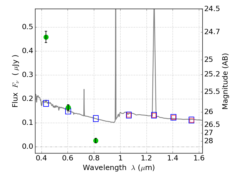
ABELLS295 ACS+IR detection object #3884

Color images and BPZ results
Catalog: 3884.cat
Black segments are analyzed here.   Roll mouse over color images to view segments.
Best viewed in a wide browser window (1200 pixels or more).   Download SED & P(z) plots to view larger versions.
In P(z) plots: Yellow lines mark the cluster redshift z = 0.300,  

Object #3884   x,y = (4275, 2311)   RA, Dec = (02:45:17.712, -53:02:38.40) = (41.32380, -53.04400)   BPZ = 1.593 [1.480--2.046]   type = 11.00 (SB11_A_0_l)   chisq2 = 145.25   ODDS = 0.67   z_cluster = 0.300