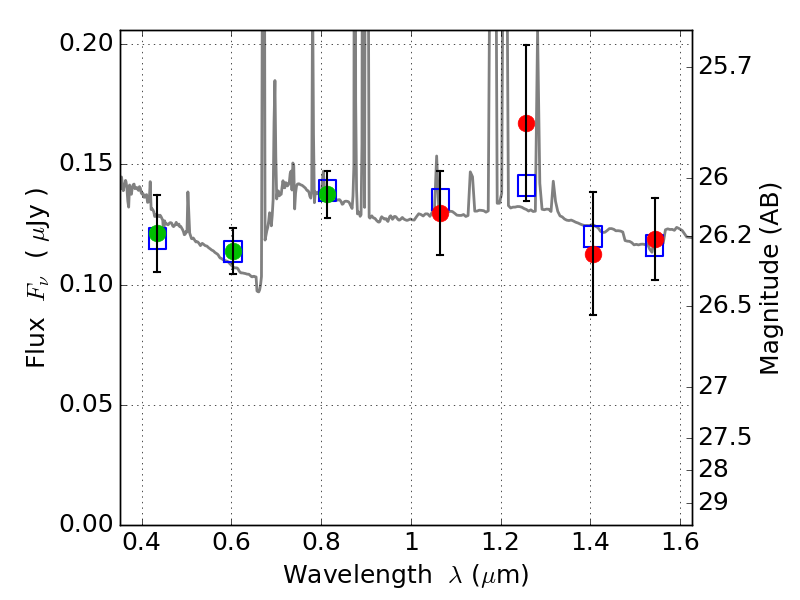
ABELLS295 ACS+IR detection object #3803

Color images and BPZ results
Catalog: 3803.cat
Black segments are analyzed here.   Roll mouse over color images to view segments.
Best viewed in a wide browser window (1200 pixels or more).   Download SED & P(z) plots to view larger versions.
In P(z) plots: Yellow lines mark the cluster redshift z = 0.300,  

Object #3803   x,y = (2131, 2273)   RA, Dec = (02:45:31.992, -53:02:40.92) = (41.38330, -53.04470)   BPZ = 0.799 [0.397--1.081]   type = 10.40 (SB3_B10 - SB11_A_0_l)   chisq2 = 0.20   ODDS = 0.40   z_cluster = 0.300