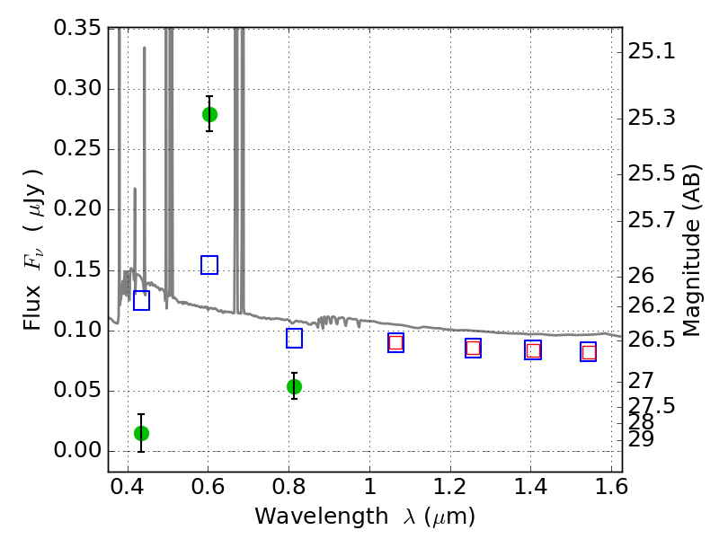
ABELLS295 ACS+IR detection object #3635

Color images and BPZ results
Catalog: 3635.cat
Black segments are analyzed here.   Roll mouse over color images to view segments.
Best viewed in a wide browser window (1200 pixels or more).   Download SED & P(z) plots to view larger versions.
In P(z) plots: Yellow lines mark the cluster redshift z = 0.300,  

Object #3635   x,y = (672, 2361)   RA, Dec = (02:45:41.688, -53:02:35.52) = (41.42370, -53.04320)   BPZ = 0.018 [0.010--0.058]   type = 11.00 (SB11_A_0_l)   chisq2 = 92.17   ODDS = 0.98   z_cluster = 0.300