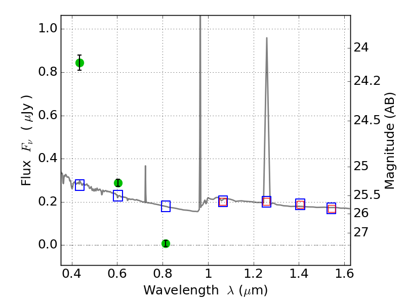
ABELLS295 ACS+IR detection object #3553

Color images and BPZ results
Catalog: 3553.cat
Black segments are analyzed here.   Roll mouse over color images to view segments.
Best viewed in a wide browser window (1200 pixels or more).   Download SED & P(z) plots to view larger versions.
In P(z) plots: Yellow lines mark the cluster redshift z = 0.300,  

Object #3553   x,y = (688, 2397)   RA, Dec = (02:45:41.592, -53:02:33.36) = (41.42330, -53.04260)   BPZ = 1.593 [1.537--1.936]   type = 11.00 (SB11_A_0_l)   chisq2 = 268.47   ODDS = 0.83   z_cluster = 0.300