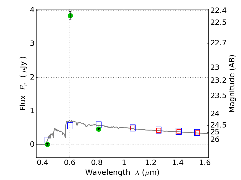
ABELLS295 ACS+IR detection object #3167

Color images and BPZ results
Catalog: 3167.cat
Black segments are analyzed here.   Roll mouse over color images to view segments.
Best viewed in a wide browser window (1200 pixels or more).   Download SED & P(z) plots to view larger versions.
In P(z) plots: Yellow lines mark the cluster redshift z = 0.300,  

Object #3167   x,y = (752, 2583)   RA, Dec = (02:45:41.160, -53:02:22.20) = (41.42150, -53.03950)   BPZ = 3.673 [3.616--3.775]   type = 11.00 (SB11_A_0_l)   chisq2 = 765.02   ODDS = 1.00   z_cluster = 0.300