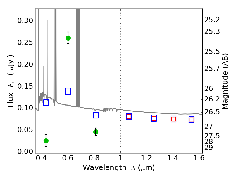
ABELLS295 ACS+IR detection object #2993

Color images and BPZ results
Catalog: 2993.cat
Black segments are analyzed here.   Roll mouse over color images to view segments.
Best viewed in a wide browser window (1200 pixels or more).   Download SED & P(z) plots to view larger versions.
In P(z) plots: Yellow lines mark the cluster redshift z = 0.300,  

Object #2993   x,y = (780, 2670)   RA, Dec = (02:45:40.968, -53:02:16.80) = (41.42070, -53.03800)   BPZ = 0.018 [0.010--0.044]   type = 11.00 (SB11_A_0_l)   chisq2 = 95.35   ODDS = 1.00   z_cluster = 0.300