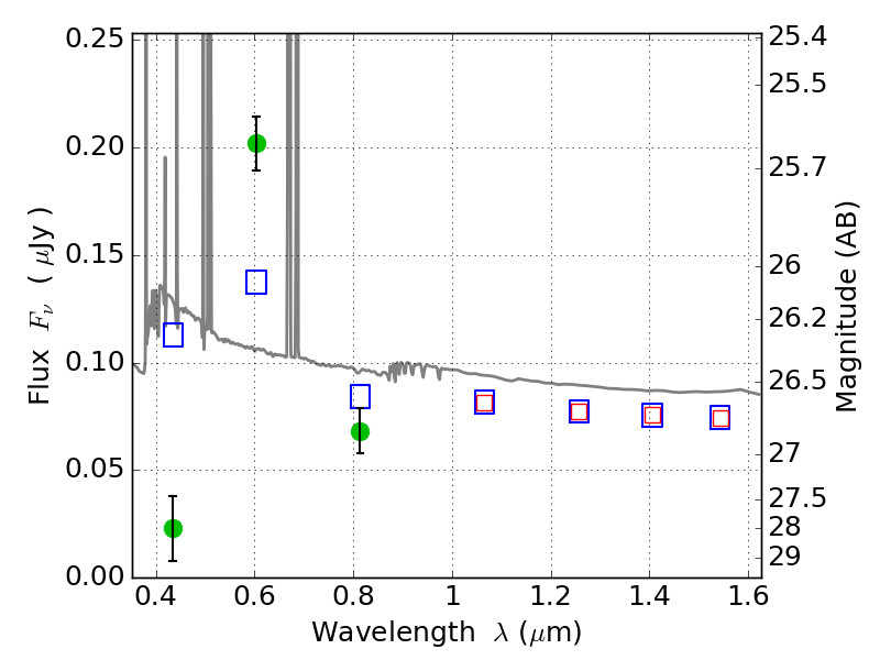
ABELLS295 ACS+IR detection object #2905

Color images and BPZ results
Catalog: 2905.cat
Black segments are analyzed here.   Roll mouse over color images to view segments.
Best viewed in a wide browser window (1200 pixels or more).   Download SED & P(z) plots to view larger versions.
In P(z) plots: Yellow lines mark the cluster redshift z = 0.300,  

Object #2905   x,y = (774, 2766)   RA, Dec = (02:45:41.016, -53:02:11.04) = (41.42090, -53.03640)   BPZ = 0.021 [0.020--3.625]   type = 11.00 (SB11_A_0_l)   chisq2 = 44.11   ODDS = 0.08   z_cluster = 0.300