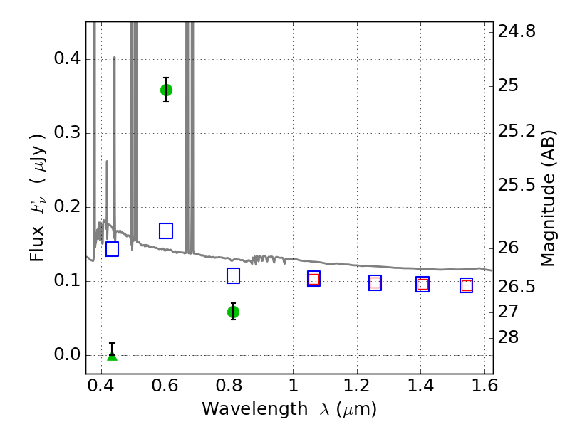
ABELLS295 ACS+IR detection object #2814

Color images and BPZ results
Catalog: 2814.cat
Black segments are analyzed here.   Roll mouse over color images to view segments.
Best viewed in a wide browser window (1200 pixels or more).   Download SED & P(z) plots to view larger versions.
In P(z) plots: Yellow lines mark the cluster redshift z = 0.300,  

Object #2814   x,y = (792, 2819)   RA, Dec = (02:45:40.896, -53:02:07.80) = (41.42040, -53.03550)   BPZ = 0.017 [0.010--3.533]   type = 11.00 (SB11_A_0_l)   chisq2 = 152.48   ODDS = 0.92   z_cluster = 0.300