ABELLS295 ACS+IR detection object #2724

Color images and BPZ results
Catalog: 2724.cat
Black segments are analyzed here.   Roll mouse over color images to view segments.
Best viewed in a wide browser window (1200 pixels or more).   Download SED & P(z) plots to view larger versions.
In P(z) plots: Yellow lines mark the cluster redshift z = 0.300,  

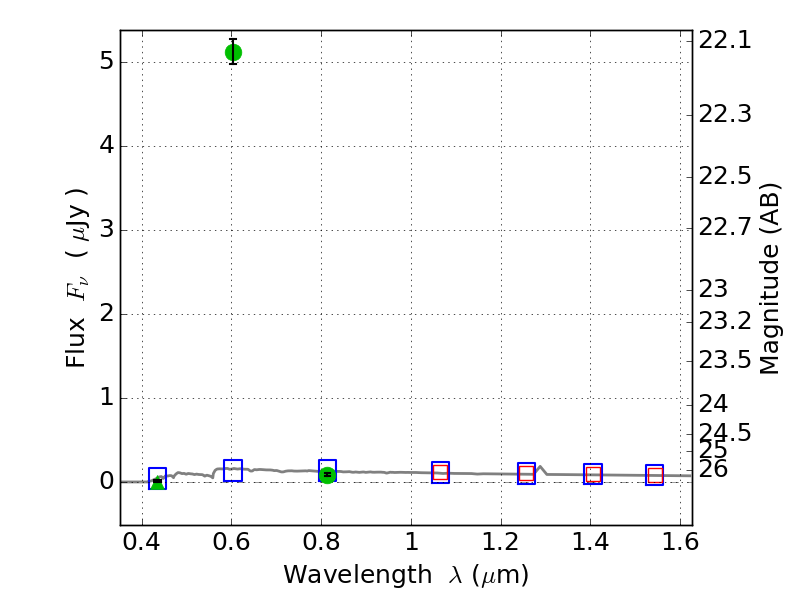
Object #2724   x,y = (783, 2869)   RA, Dec = (02:45:40.944, -53:02:04.92) = (41.42060, -53.03470)   BPZ = 3.597 [2.841--3.804]   type = 11.00 (SB11_A_0_l)   chisq2 = 1094.84   ODDS = 0.76   z_cluster = 0.300