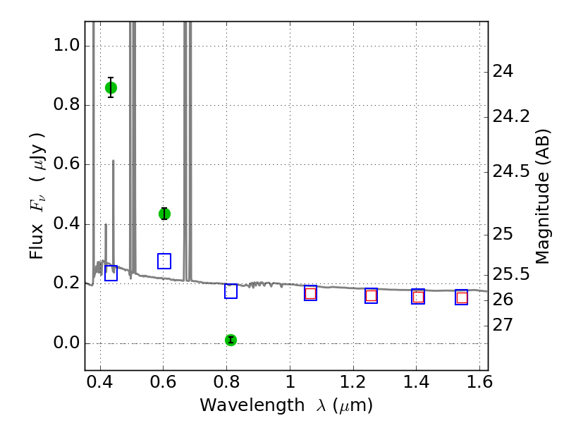
ABELLS295 ACS+IR detection object #2566

Color images and BPZ results
Catalog: 2566.cat
Black segments are analyzed here.   Roll mouse over color images to view segments.
Best viewed in a wide browser window (1200 pixels or more).   Download SED & P(z) plots to view larger versions.
In P(z) plots: Yellow lines mark the cluster redshift z = 0.300,  

Object #2566   x,y = (4485, 2944)   RA, Dec = (02:45:16.320, -53:02:00.60) = (41.31800, -53.03350)   BPZ = 0.017 [0.010--0.034]   type = 11.00 (SB11_A_0_l)   chisq2 = 368.28   ODDS = 1.00   z_cluster = 0.300