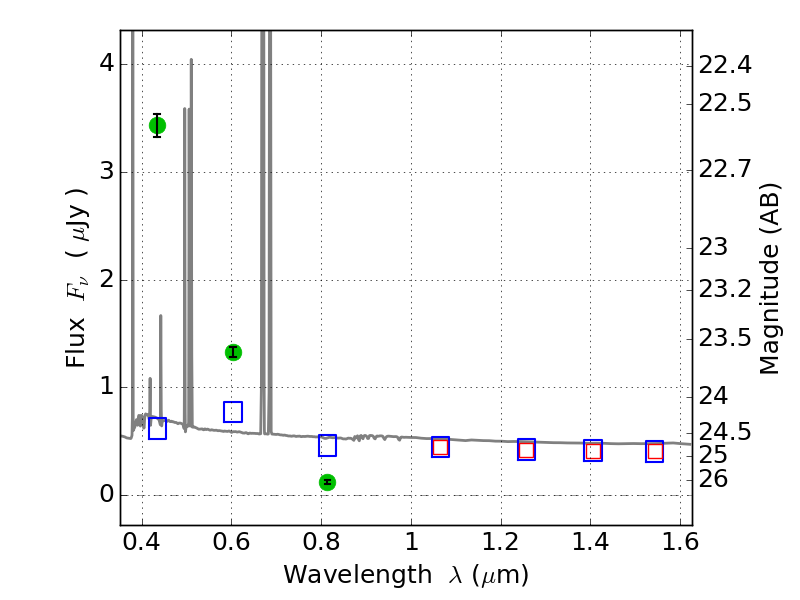
ABELLS295 ACS+IR detection object #246

Color images and BPZ results
Catalog: 246.cat
Black segments are analyzed here.   Roll mouse over color images to view segments.
Best viewed in a wide browser window (1200 pixels or more).   Download SED & P(z) plots to view larger versions.
In P(z) plots: Yellow lines mark the cluster redshift z = 0.300,  

Object #246   x,y = (1164, 4344)   RA, Dec = (02:45:38.400, -53:00:-36.36) = (41.41000, -53.01010)   BPZ = 0.016 [0.010--0.031]   type = 11.00 (SB11_A_0_l)   chisq2 = 667.30   ODDS = 1.00   z_cluster = 0.300