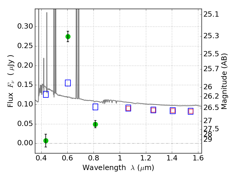
ABELLS295 ACS+IR detection object #2237

Color images and BPZ results
Catalog: 2237.cat
Black segments are analyzed here.   Roll mouse over color images to view segments.
Best viewed in a wide browser window (1200 pixels or more).   Download SED & P(z) plots to view larger versions.
In P(z) plots: Yellow lines mark the cluster redshift z = 0.300,  

Object #2237   x,y = (4606, 3404)   RA, Dec = (02:45:15.528, -53:01:32.88) = (41.31470, -53.02580)   BPZ = 0.018 [0.010--0.042]   type = 11.00 (SB11_A_0_l)   chisq2 = 98.14   ODDS = 1.00   z_cluster = 0.300