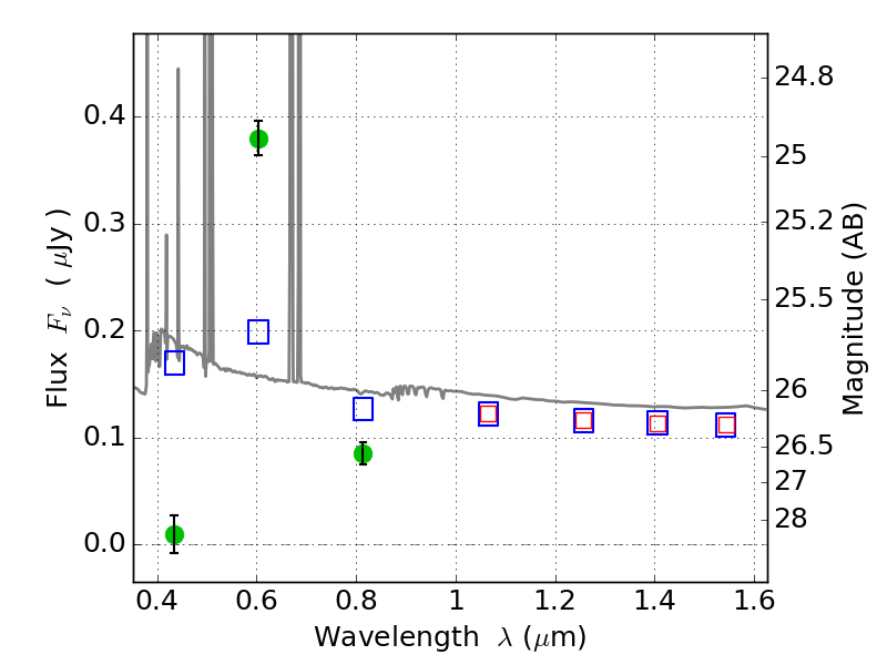
ABELLS295 ACS+IR detection object #2234

Color images and BPZ results
Catalog: 2234.cat
Black segments are analyzed here.   Roll mouse over color images to view segments.
Best viewed in a wide browser window (1200 pixels or more).   Download SED & P(z) plots to view larger versions.
In P(z) plots: Yellow lines mark the cluster redshift z = 0.300,  

Object #2234   x,y = (4521, 3108)   RA, Dec = (02:45:16.080, -53:01:50.52) = (41.31700, -53.03070)   BPZ = 0.017 [0.010--0.041]   type = 11.00 (SB11_A_0_l)   chisq2 = 135.16   ODDS = 1.00   z_cluster = 0.300