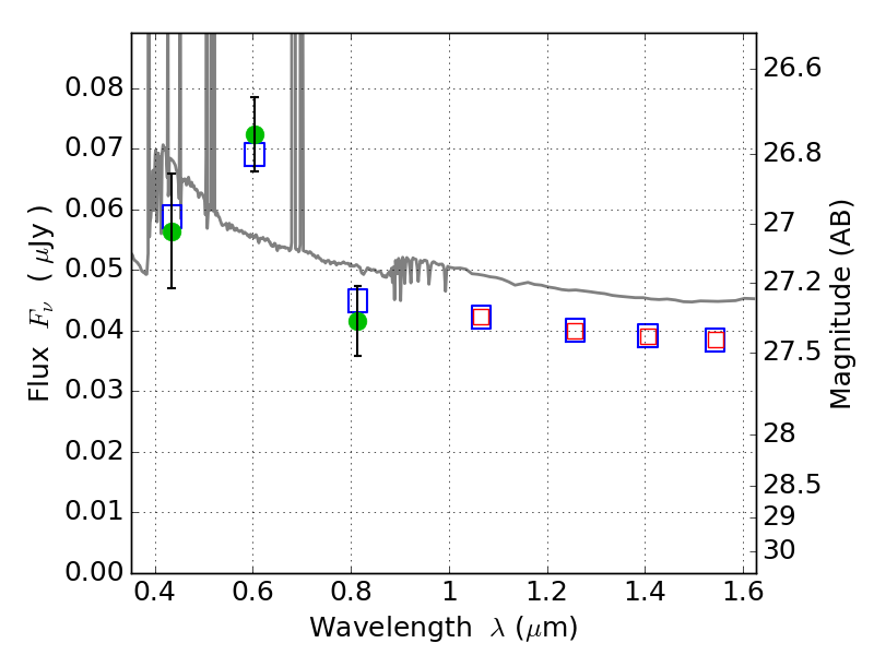
ABELLS295 ACS+IR detection object #179

Color images and BPZ results
Catalog: 179.cat
Black segments are analyzed here.   Roll mouse over color images to view segments.
Best viewed in a wide browser window (1200 pixels or more).   Download SED & P(z) plots to view larger versions.
In P(z) plots: Yellow lines mark the cluster redshift z = 0.300,  

Object #179   x,y = (1965, 4432)   RA, Dec = (02:45:33.072, -53:00:-31.32) = (41.38780, -53.00870)   BPZ = 0.036 [0.028--2.985]   type = 11.00 (SB11_A_0_l)   chisq2 = 0.44   ODDS = 0.08   z_cluster = 0.300