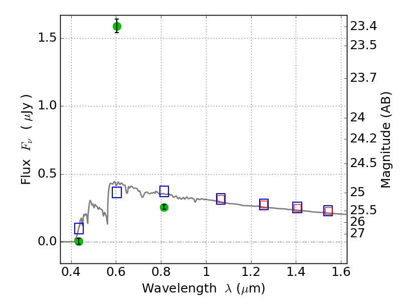
ABELLS295 ACS+IR detection object #1499

Color images and BPZ results
Catalog: 1499.cat
Black segments are analyzed here.   Roll mouse over color images to view segments.
Best viewed in a wide browser window (1200 pixels or more).   Download SED & P(z) plots to view larger versions.
In P(z) plots: Yellow lines mark the cluster redshift z = 0.300,  

Object #1499   x,y = (949, 3492)   RA, Dec = (02:45:39.840, -53:01:27.48) = (41.41600, -53.02430)   BPZ = 3.628 [3.553--3.691]   type = 11.00 (SB11_A_0_l)   chisq2 = 513.90   ODDS = 1.00   z_cluster = 0.300