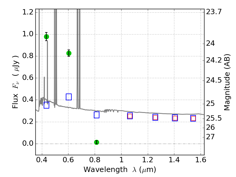
ABELLS295 ACS+IR detection object #1459

Color images and BPZ results
Catalog: 1459.cat
Black segments are analyzed here.   Roll mouse over color images to view segments.
Best viewed in a wide browser window (1200 pixels or more).   Download SED & P(z) plots to view larger versions.
In P(z) plots: Yellow lines mark the cluster redshift z = 0.300,  

Object #1459   x,y = (982, 3508)   RA, Dec = (02:45:39.624, -53:01:26.76) = (41.41510, -53.02410)   BPZ = 0.019 [0.010--0.032]   type = 11.00 (SB11_A_0_l)   chisq2 = 324.46   ODDS = 1.00   z_cluster = 0.300