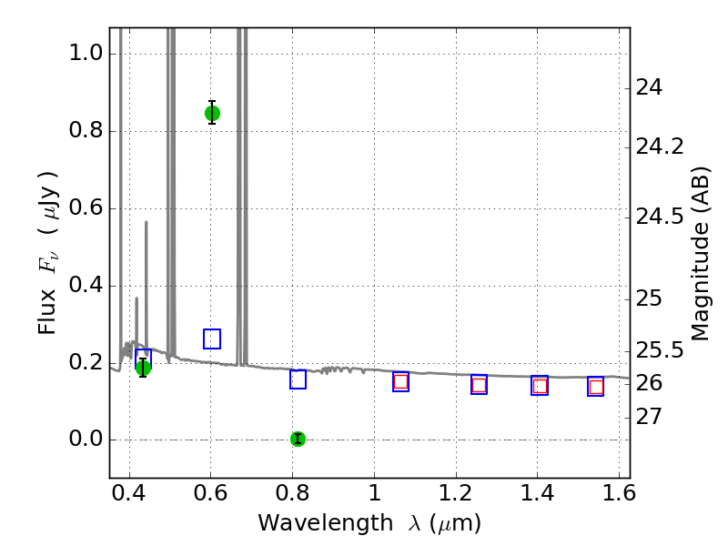
ABELLS295 ACS+IR detection object #1444

Color images and BPZ results
Catalog: 1444.cat
Black segments are analyzed here.   Roll mouse over color images to view segments.
Best viewed in a wide browser window (1200 pixels or more).   Download SED & P(z) plots to view larger versions.
In P(z) plots: Yellow lines mark the cluster redshift z = 0.300,  

Object #1444   x,y = (4631, 3513)   RA, Dec = (02:45:15.360, -53:01:26.40) = (41.31400, -53.02400)   BPZ = 0.016 [0.010--0.032]   type = 11.00 (SB11_A_0_l)   chisq2 = 360.77   ODDS = 1.00   z_cluster = 0.300