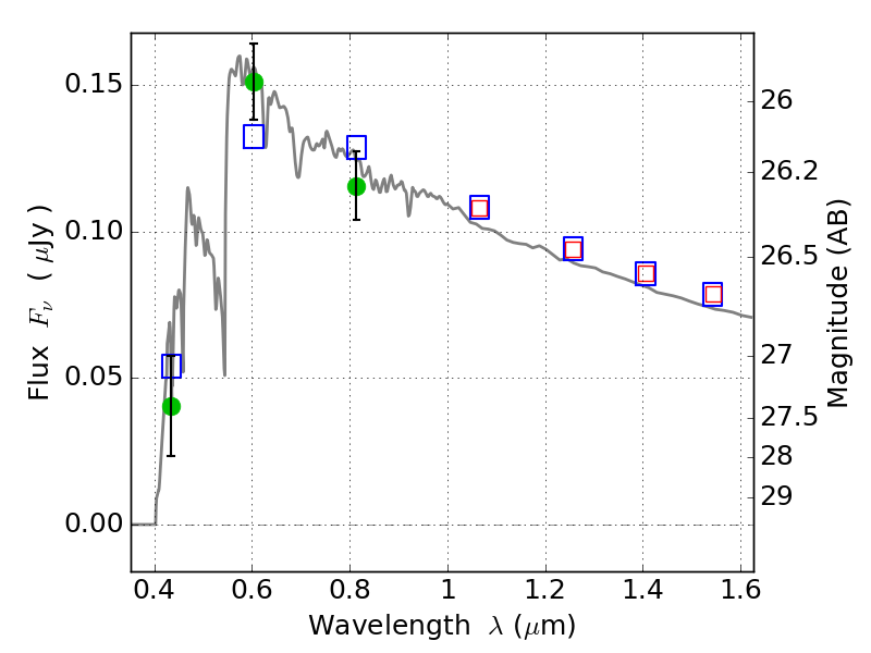
ABELLS295 ACS+IR detection object #137

Color images and BPZ results
Catalog: 137.cat
Black segments are analyzed here.   Roll mouse over color images to view segments.
Best viewed in a wide browser window (1200 pixels or more).   Download SED & P(z) plots to view larger versions.
In P(z) plots: Yellow lines mark the cluster redshift z = 0.300,  

Object #137   x,y = (1206, 4502)   RA, Dec = (02:45:38.136, -53:00:-27.00) = (41.40890, -53.00750)   BPZ = 3.478 [0.345--3.712]   type = 11.00 (SB11_A_0_l)   chisq2 = 2.77   ODDS = 0.68   z_cluster = 0.300