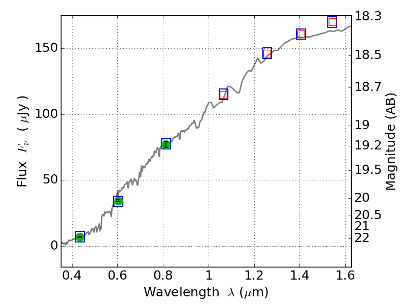
ABELLS295 ACS+IR detection object #122

Color images and BPZ results
Catalog: 122.cat
Black segments are analyzed here.   Roll mouse over color images to view segments.
Best viewed in a wide browser window (1200 pixels or more).   Download SED & P(z) plots to view larger versions.
In P(z) plots: Yellow lines mark the cluster redshift z = 0.300,  

Object #122   x,y = (1252, 4474)   RA, Dec = (02:45:37.824, -53:00:-28.80) = (41.40760, -53.00800)   BPZ = 0.333 [0.249--0.397]   type = 2.80 (Ell5_A_0 - Ell6_A_0)   chisq2 = 0.00   ODDS = 0.83   z_cluster = 0.300