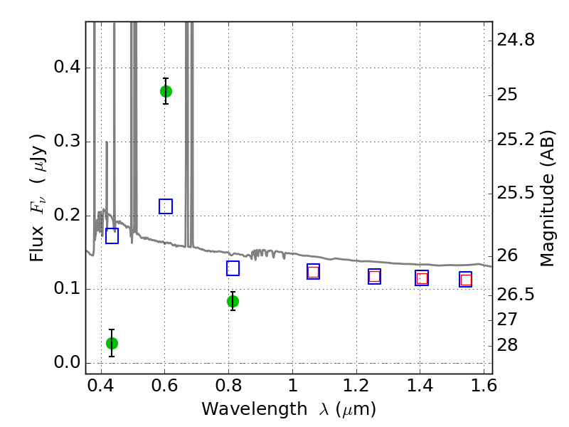
ABELLS295 ACS+IR detection object #1026

Color images and BPZ results
Catalog: 1026.cat
Black segments are analyzed here.   Roll mouse over color images to view segments.
Best viewed in a wide browser window (1200 pixels or more).   Download SED & P(z) plots to view larger versions.
In P(z) plots: Yellow lines mark the cluster redshift z = 0.300,  

Object #1026   x,y = (1022, 3818)   RA, Dec = (02:45:39.360, -53:01:08.04) = (41.41400, -53.01890)   BPZ = 0.018 [0.010--0.045]   type = 11.00 (SB11_A_0_l)   chisq2 = 92.39   ODDS = 1.00   z_cluster = 0.300