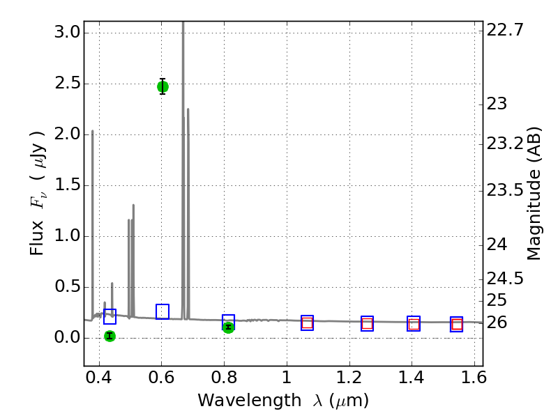
ABELLS295 ACS+IR detection object #96

Color images and BPZ results
Catalog: 96.cat
Black segments are analyzed here.   Roll mouse over color images to view segments.
Best viewed in a wide browser window (1200 pixels or more).   Download SED & P(z) plots to view larger versions.
In P(z) plots: Yellow lines mark the cluster redshift z = 0.300,  

Object #96   x,y = (1256, 4569)   RA, Dec = (02:45:37.800, -53:00:-23.04) = (41.40750, -53.00640)   BPZ = 0.018 [0.010--0.043]   type = 11.00 (SB11_A_0_l)   chisq2 = 881.00   ODDS = 1.00   z_cluster = 0.300