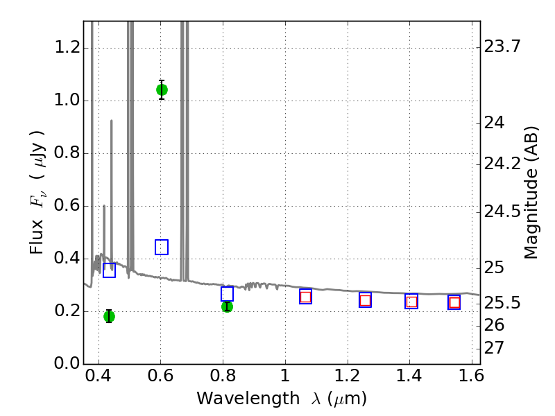
ABELLS295 ACS+IR detection object #93

Color images and BPZ results
Catalog: 93.cat
Black segments are analyzed here.   Roll mouse over color images to view segments.
Best viewed in a wide browser window (1200 pixels or more).   Download SED & P(z) plots to view larger versions.
In P(z) plots: Yellow lines mark the cluster redshift z = 0.300,  

Object #93   x,y = (1227, 4557)   RA, Dec = (02:45:37.992, -53:00:-23.76) = (41.40830, -53.00660)   BPZ = 0.016 [0.010--0.032]   type = 11.00 (SB11_A_0_l)   chisq2 = 195.50   ODDS = 1.00   z_cluster = 0.300