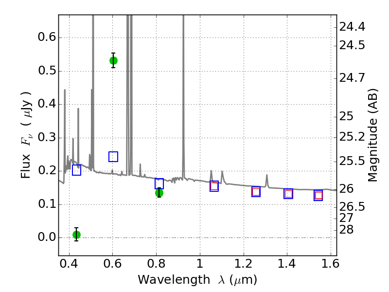
ABELLS295 ACS+IR detection object #784

Color images and BPZ results
Catalog: 784.cat
Black segments are analyzed here.   Roll mouse over color images to view segments.
Best viewed in a wide browser window (1200 pixels or more).   Download SED & P(z) plots to view larger versions.
In P(z) plots: Yellow lines mark the cluster redshift z = 0.300,  

Object #784   x,y = (1057, 3907)   RA, Dec = (02:45:39.120, -53:01:02.64) = (41.41300, -53.01740)   BPZ = 0.017 [0.010--0.049]   type = 10.80 (SB11_A_0_l - SB3_B10)   chisq2 = 172.80   ODDS = 0.98   z_cluster = 0.300