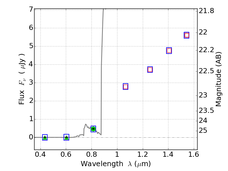
ABELLS295 ACS+IR detection object #6542

Color images and BPZ results
Catalog: 6542.cat
Black segments are analyzed here.   Roll mouse over color images to view segments.
Best viewed in a wide browser window (1200 pixels or more).   Download SED & P(z) plots to view larger versions.
In P(z) plots: Yellow lines mark the cluster redshift z = 0.300,  

Object #6542   x,y = (3763, 473)   RA, Dec = (02:45:21.120, -53:04:28.92) = (41.33800, -53.07470)   BPZ = 6.215 [5.790--8.928]   type = 6.00 (Sbc_B10)   chisq2 = 0.00   ODDS = 0.37   z_cluster = 0.300