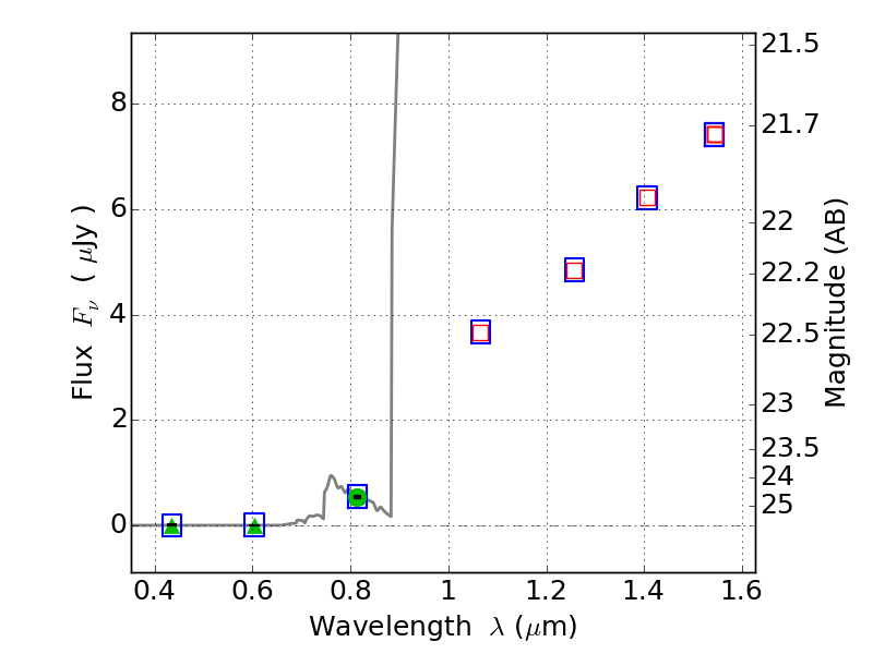
ABELLS295 ACS+IR detection object #6368

Color images and BPZ results
Catalog: 6368.cat
Black segments are analyzed here.   Roll mouse over color images to view segments.
Best viewed in a wide browser window (1200 pixels or more).   Download SED & P(z) plots to view larger versions.
In P(z) plots: Yellow lines mark the cluster redshift z = 0.300,  

Object #6368   x,y = (3820, 700)   RA, Dec = (02:45:20.736, -53:04:15.24) = (41.33640, -53.07090)   BPZ = 6.272 [5.863--8.932]   type = 6.00 (Sbc_B10)   chisq2 = 0.00   ODDS = 0.38   z_cluster = 0.300