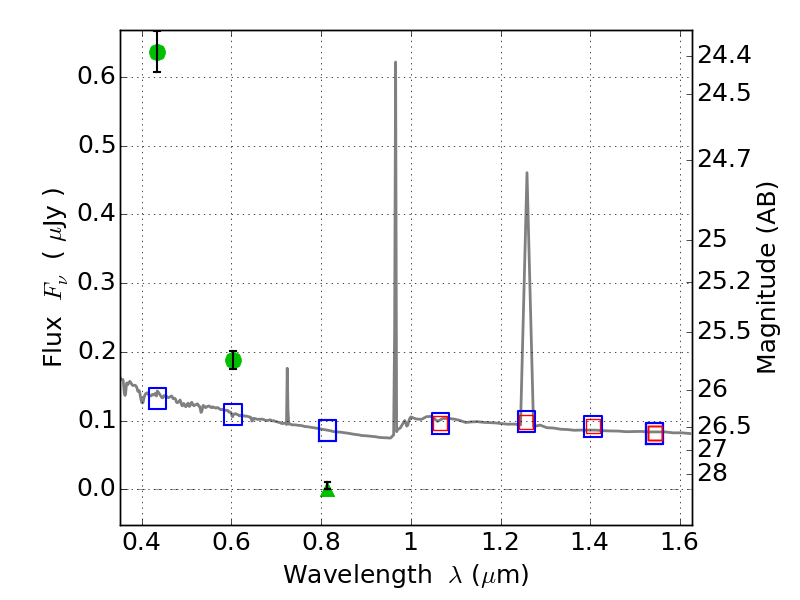
ABELLS295 ACS+IR detection object #6316

Color images and BPZ results
Catalog: 6316.cat
Black segments are analyzed here.   Roll mouse over color images to view segments.
Best viewed in a wide browser window (1200 pixels or more).   Download SED & P(z) plots to view larger versions.
In P(z) plots: Yellow lines mark the cluster redshift z = 0.300,  

Object #6316   x,y = (3826, 743)   RA, Dec = (02:45:20.688, -53:04:12.72) = (41.33620, -53.07020)   BPZ = 1.594 [0.016--2.010]   type = 11.00 (SB11_A_0_l)   chisq2 = 374.60   ODDS = 0.63   z_cluster = 0.300