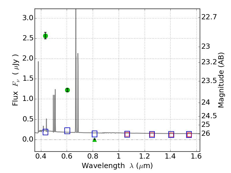
ABELLS295 ACS+IR detection object #5797

Color images and BPZ results
Catalog: 5797.cat
Black segments are analyzed here.   Roll mouse over color images to view segments.
Best viewed in a wide browser window (1200 pixels or more).   Download SED & P(z) plots to view larger versions.
In P(z) plots: Yellow lines mark the cluster redshift z = 0.300,  

Object #5797   x,y = (3972, 1225)   RA, Dec = (02:45:19.728, -53:03:43.56) = (41.33220, -53.06210)   BPZ = 0.017 [0.010--0.033]   type = 11.00 (SB11_A_0_l)   chisq2 = 1536.00   ODDS = 1.00   z_cluster = 0.300