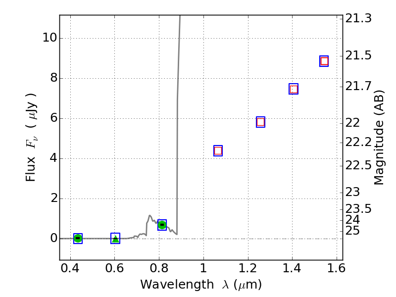
ABELLS295 ACS+IR detection object #545

Color images and BPZ results
Catalog: 545.cat
Black segments are analyzed here.   Roll mouse over color images to view segments.
Best viewed in a wide browser window (1200 pixels or more).   Download SED & P(z) plots to view larger versions.
In P(z) plots: Yellow lines mark the cluster redshift z = 0.300,  

Object #545   x,y = (1130, 4091)   RA, Dec = (02:45:38.640, -53:00:-51.84) = (41.41100, -53.01440)   BPZ = 6.254 [5.855--8.927]   type = 6.00 (Sbc_B10)   chisq2 = 0.00   ODDS = 0.39   z_cluster = 0.300