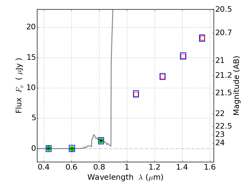
ABELLS295 ACS+IR detection object #5376

Color images and BPZ results
Catalog: 5376.cat
Black segments are analyzed here.   Roll mouse over color images to view segments.
Best viewed in a wide browser window (1200 pixels or more).   Download SED & P(z) plots to view larger versions.
In P(z) plots: Yellow lines mark the cluster redshift z = 0.300,  

Object #5376   x,y = (4036, 1457)   RA, Dec = (02:45:19.296, -53:03:29.88) = (41.33040, -53.05830)   BPZ = 6.284 [5.963--8.846]   type = 6.00 (Sbc_B10)   chisq2 = 0.00   ODDS = 0.44   z_cluster = 0.300