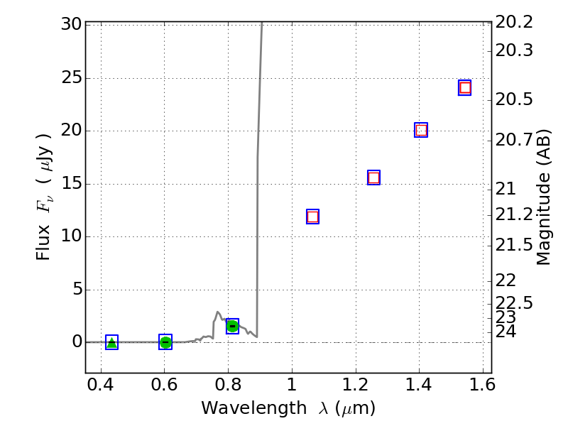
ABELLS295 ACS+IR detection object #5186

Color images and BPZ results
Catalog: 5186.cat
Black segments are analyzed here.   Roll mouse over color images to view segments.
Best viewed in a wide browser window (1200 pixels or more).   Download SED & P(z) plots to view larger versions.
In P(z) plots: Yellow lines mark the cluster redshift z = 0.300,  

Object #5186   x,y = (4046, 1551)   RA, Dec = (02:45:19.224, -53:03:24.12) = (41.33010, -53.05670)   BPZ = 6.342 [6.011--8.649]   type = 6.00 (Sbc_B10)   chisq2 = 0.00   ODDS = 0.45   z_cluster = 0.300