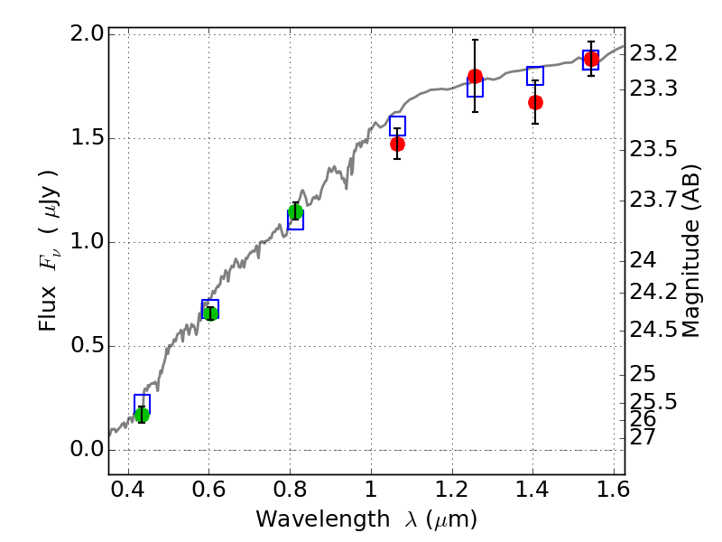
ABELLS295 ACS+IR detection object #5160

Color images and BPZ results
Catalog: 5160.cat
Black segments are analyzed here.   Roll mouse over color images to view segments.
Best viewed in a wide browser window (1200 pixels or more).   Download SED & P(z) plots to view larger versions.
In P(z) plots: Yellow lines mark the cluster redshift z = 0.300,  

Object #5160   x,y = (2168, 1554)   RA, Dec = (02:45:31.728, -53:03:23.76) = (41.38220, -53.05660)   BPZ = 0.097 [0.039--0.162]   type = 4.00 (Ell4_A_0)   chisq2 = 0.20   ODDS = 0.86   z_cluster = 0.300