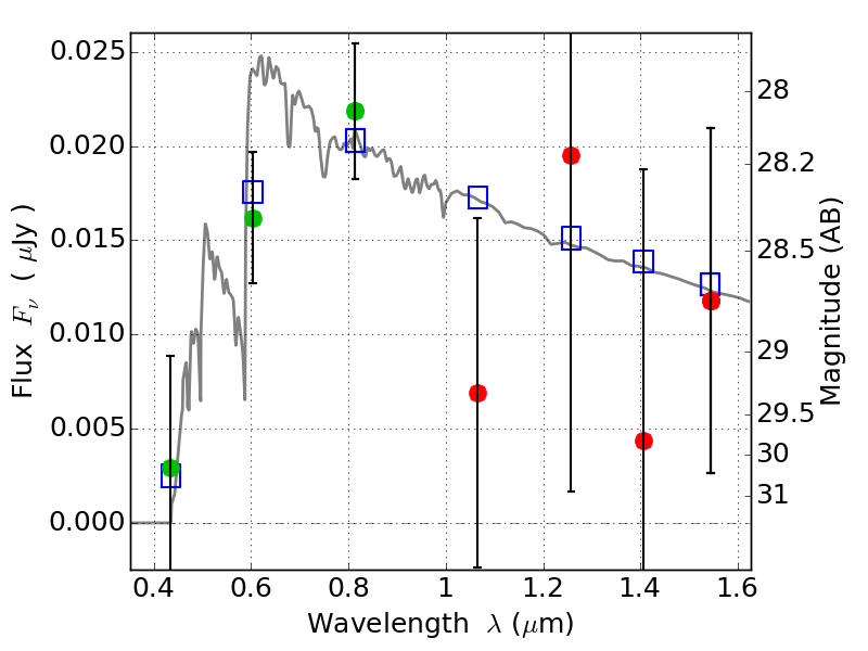
ABELLS295 ACS+IR detection object #5099

Color images and BPZ results
Catalog: 5099.cat
Black segments are analyzed here.   Roll mouse over color images to view segments.
Best viewed in a wide browser window (1200 pixels or more).   Download SED & P(z) plots to view larger versions.
In P(z) plots: Yellow lines mark the cluster redshift z = 0.300,  

Object #5099   x,y = (2641, 1594)   RA, Dec = (02:45:28.584, -53:03:21.60) = (41.36910, -53.05600)   BPZ = 3.841 [0.150--4.325]   type = 11.00 (SB11_A_0_l)   chisq2 = 0.31   ODDS = 0.36   z_cluster = 0.300