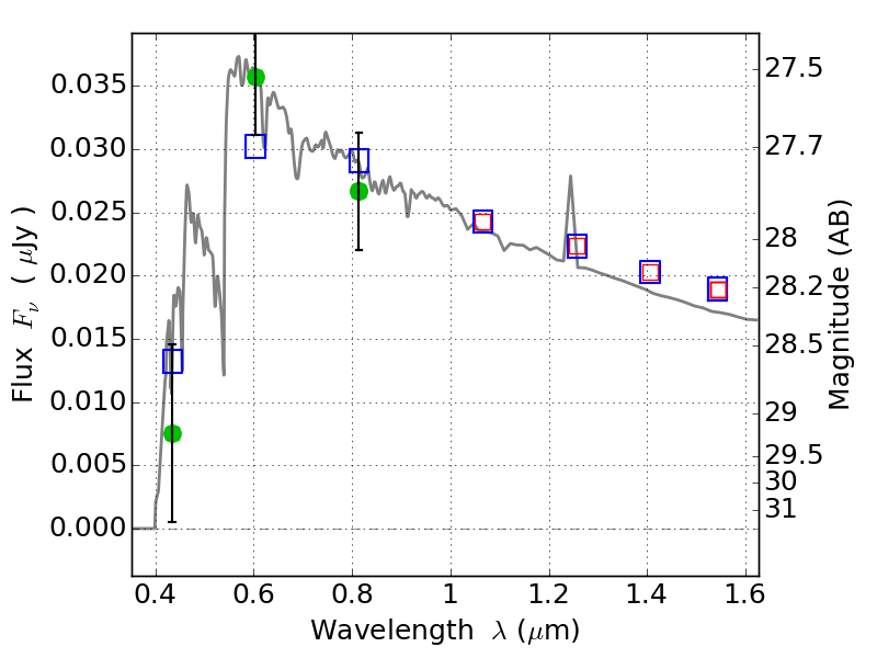
ABELLS295 ACS+IR detection object #5098

Color images and BPZ results
Catalog: 5098.cat
Black segments are analyzed here.   Roll mouse over color images to view segments.
Best viewed in a wide browser window (1200 pixels or more).   Download SED & P(z) plots to view larger versions.
In P(z) plots: Yellow lines mark the cluster redshift z = 0.300,  

Object #5098   x,y = (824, 1592)   RA, Dec = (02:45:40.680, -53:03:21.60) = (41.41950, -53.05600)   BPZ = 3.445 [0.269--3.768]   type = 11.00 (SB11_A_0_l)   chisq2 = 2.26   ODDS = 0.29   z_cluster = 0.300