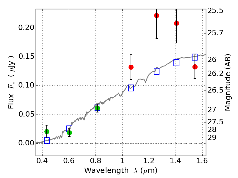
ABELLS295 ACS+IR detection object #4998

Color images and BPZ results
Catalog: 4998.cat
Black segments are analyzed here.   Roll mouse over color images to view segments.
Best viewed in a wide browser window (1200 pixels or more).   Download SED & P(z) plots to view larger versions.
In P(z) plots: Yellow lines mark the cluster redshift z = 0.300,  

Object #4998   x,y = (3157, 1638)   RA, Dec = (02:45:25.152, -53:03:18.72) = (41.35480, -53.05520)   BPZ = 0.376 [0.260--5.434]   type = 2.00 (Ell6_A_0)   chisq2 = 2.06   ODDS = 0.20   z_cluster = 0.300