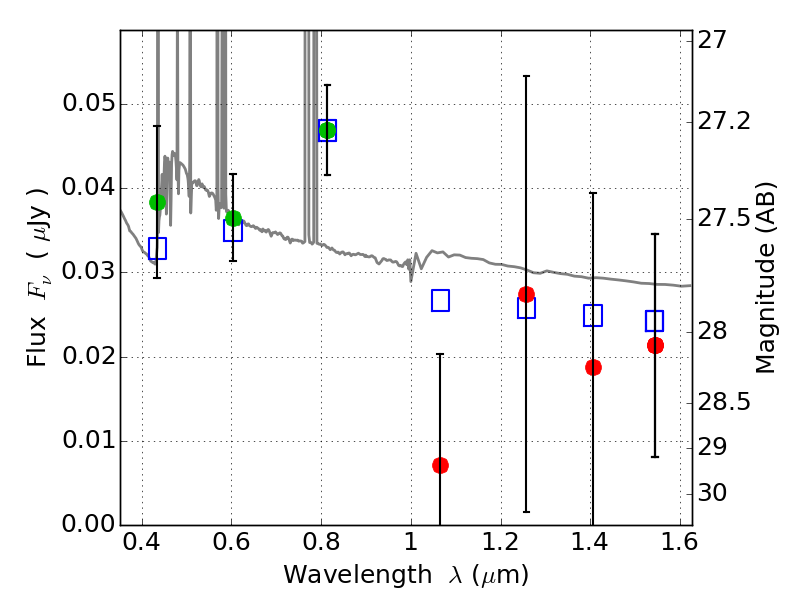
ABELLS295 ACS+IR detection object #4938

Color images and BPZ results
Catalog: 4938.cat
Black segments are analyzed here.   Roll mouse over color images to view segments.
Best viewed in a wide browser window (1200 pixels or more).   Download SED & P(z) plots to view larger versions.
In P(z) plots: Yellow lines mark the cluster redshift z = 0.300,  

Object #4938   x,y = (2484, 1668)   RA, Dec = (02:45:29.640, -53:03:16.92) = (41.37350, -53.05470)   BPZ = 0.172 [0.085--0.908]   type = 11.00 (SB11_A_0_l)   chisq2 = 0.39   ODDS = 0.42   z_cluster = 0.300