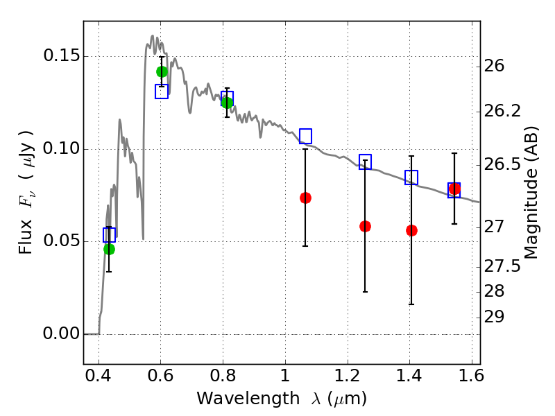
ABELLS295 ACS+IR detection object #4354

Color images and BPZ results
Catalog: 4354.cat
Black segments are analyzed here.   Roll mouse over color images to view segments.
Best viewed in a wide browser window (1200 pixels or more).   Download SED & P(z) plots to view larger versions.
In P(z) plots: Yellow lines mark the cluster redshift z = 0.300,  

Object #4354   x,y = (2119, 1945)   RA, Dec = (02:45:32.064, -53:03:00.36) = (41.38360, -53.05010)   BPZ = 3.476 [3.283--3.642]   type = 11.00 (SB11_A_0_l)   chisq2 = 0.57   ODDS = 0.95   z_cluster = 0.300