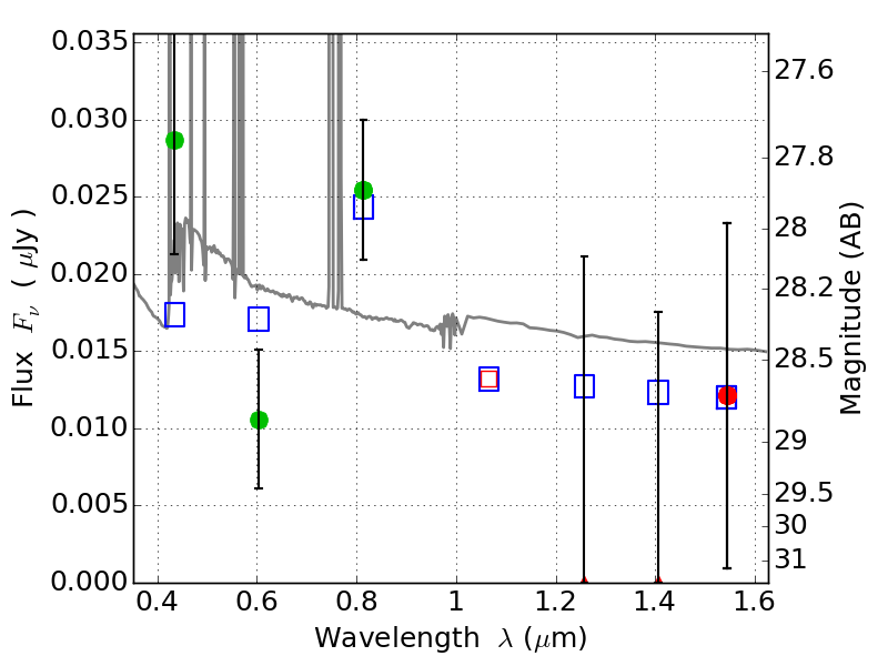
ABELLS295 ACS+IR detection object #4304

Color images and BPZ results
Catalog: 4304.cat
Black segments are analyzed here.   Roll mouse over color images to view segments.
Best viewed in a wide browser window (1200 pixels or more).   Download SED & P(z) plots to view larger versions.
In P(z) plots: Yellow lines mark the cluster redshift z = 0.300,  

Object #4304   x,y = (1830, 1966)   RA, Dec = (02:45:33.984, -53:02:59.28) = (41.39160, -53.04980)   BPZ = 0.137 [0.098--2.648]   type = 11.00 (SB11_A_0_l)   chisq2 = 0.84   ODDS = 0.15   z_cluster = 0.300