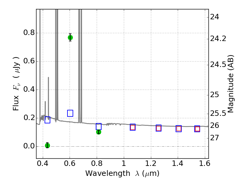
ABELLS295 ACS+IR detection object #4140

Color images and BPZ results
Catalog: 4140.cat
Black segments are analyzed here.   Roll mouse over color images to view segments.
Best viewed in a wide browser window (1200 pixels or more).   Download SED & P(z) plots to view larger versions.
In P(z) plots: Yellow lines mark the cluster redshift z = 0.300,  

Object #4140   x,y = (4236, 2060)   RA, Dec = (02:45:17.976, -53:02:53.52) = (41.32490, -53.04820)   BPZ = 0.016 [0.010--0.033]   type = 11.00 (SB11_A_0_l)   chisq2 = 376.70   ODDS = 1.00   z_cluster = 0.300