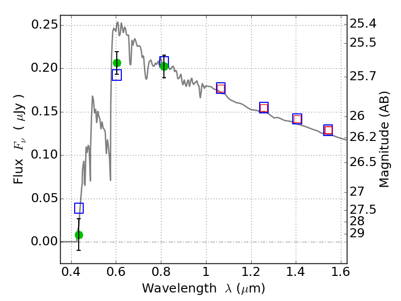
ABELLS295 ACS+IR detection object #4068

Color images and BPZ results
Catalog: 4068.cat
Black segments are analyzed here.   Roll mouse over color images to view segments.
Best viewed in a wide browser window (1200 pixels or more).   Download SED & P(z) plots to view larger versions.
In P(z) plots: Yellow lines mark the cluster redshift z = 0.300,  

Object #4068   x,y = (4259, 2220)   RA, Dec = (02:45:17.832, -53:02:43.80) = (41.32430, -53.04550)   BPZ = 3.739 [3.565--3.906]   type = 11.00 (SB11_A_0_l)   chisq2 = 2.49   ODDS = 0.97   z_cluster = 0.300