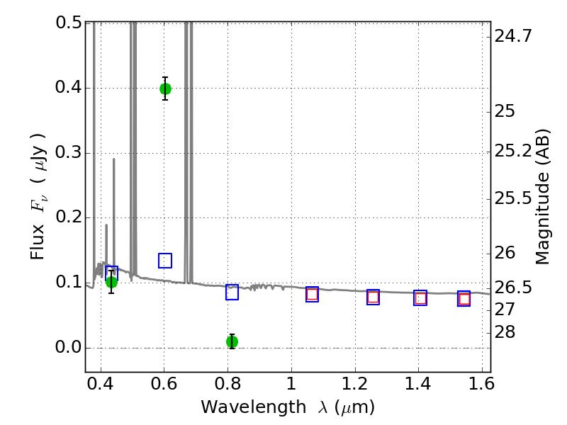
ABELLS295 ACS+IR detection object #3888

Color images and BPZ results
Catalog: 3888.cat
Black segments are analyzed here.   Roll mouse over color images to view segments.
Best viewed in a wide browser window (1200 pixels or more).   Download SED & P(z) plots to view larger versions.
In P(z) plots: Yellow lines mark the cluster redshift z = 0.300,  

Object #3888   x,y = (636, 2249)   RA, Dec = (02:45:41.928, -53:02:42.00) = (41.42470, -53.04500)   BPZ = 0.017 [0.010--0.036]   type = 11.00 (SB11_A_0_l)   chisq2 = 241.00   ODDS = 1.00   z_cluster = 0.300