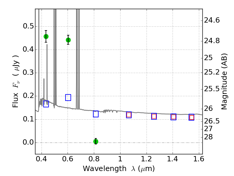
ABELLS295 ACS+IR detection object #3806

Color images and BPZ results
Catalog: 3806.cat
Black segments are analyzed here.   Roll mouse over color images to view segments.
Best viewed in a wide browser window (1200 pixels or more).   Download SED & P(z) plots to view larger versions.
In P(z) plots: Yellow lines mark the cluster redshift z = 0.300,  

Object #3806   x,y = (651, 2292)   RA, Dec = (02:45:41.832, -53:02:39.48) = (41.42430, -53.04430)   BPZ = 0.017 [0.010--0.034]   type = 11.00 (SB11_A_0_l)   chisq2 = 309.70   ODDS = 1.00   z_cluster = 0.300