ABELLS295 ACS+IR detection object #3769

Color images and BPZ results
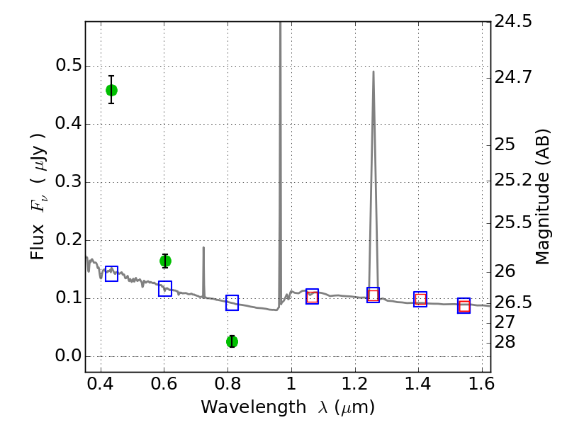
Catalog: 3769.cat
Black segments are analyzed here.   Roll mouse over color images to view segments.
Best viewed in a wide browser window (1200 pixels or more).   Download SED & P(z) plots to view larger versions.
In P(z) plots: Yellow lines mark the cluster redshift z = 0.300,  

Object #3769   x,y = (4275, 2311)   RA, Dec = (02:45:17.712, -53:02:38.40) = (41.32380, -53.04400)   BPZ = 1.594 [1.492--2.033]   type = 11.00 (SB11_A_0_l)   chisq2 = 212.80   ODDS = 0.68   z_cluster = 0.300