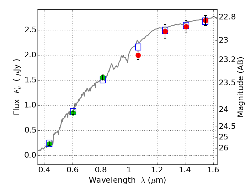
ABELLS295 ACS+IR detection object #3686

Color images and BPZ results
Catalog: 3686.cat
Black segments are analyzed here.   Roll mouse over color images to view segments.
Best viewed in a wide browser window (1200 pixels or more).   Download SED & P(z) plots to view larger versions.
In P(z) plots: Yellow lines mark the cluster redshift z = 0.300,  

Object #3686   x,y = (2712, 2356)   RA, Dec = (02:45:28.104, -53:02:35.88) = (41.36710, -53.04330)   BPZ = 0.156 [0.081--0.197]   type = 3.90 (Ell4_A_0 - Ell5_A_0)   chisq2 = 0.13   ODDS = 0.88   z_cluster = 0.300