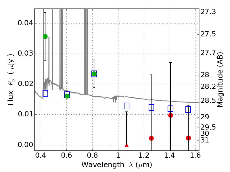
ABELLS295 ACS+IR detection object #3665

Color images and BPZ results
Catalog: 3665.cat
Black segments are analyzed here.   Roll mouse over color images to view segments.
Best viewed in a wide browser window (1200 pixels or more).   Download SED & P(z) plots to view larger versions.
In P(z) plots: Yellow lines mark the cluster redshift z = 0.300,  

Object #3665   x,y = (2213, 2363)   RA, Dec = (02:45:31.440, -53:02:35.52) = (41.38100, -53.04320)   BPZ = 0.129 [0.080--2.943]   type = 11.00 (SB11_A_0_l)   chisq2 = 1.30   ODDS = 0.23   z_cluster = 0.300