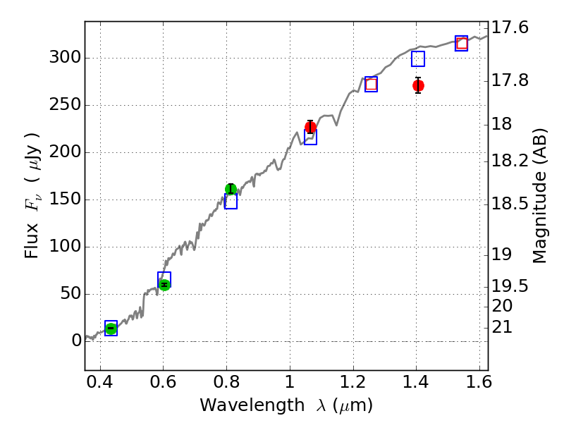
ABELLS295 ACS+IR detection object #3382

Color images and BPZ results
Catalog: 3382.cat
Black segments are analyzed here.   Roll mouse over color images to view segments.
Best viewed in a wide browser window (1200 pixels or more).   Download SED & P(z) plots to view larger versions.
In P(z) plots: Yellow lines mark the cluster redshift z = 0.300,  

Object #3382   x,y = (1451, 2467)   RA, Dec = (02:45:36.504, -53:02:29.04) = (41.40210, -53.04140)   BPZ = 0.346 [0.288--0.371]   type = 3.60 (Ell4_A_0 - Ell5_A_0)   chisq2 = 0.88   ODDS = 0.97   z_cluster = 0.300