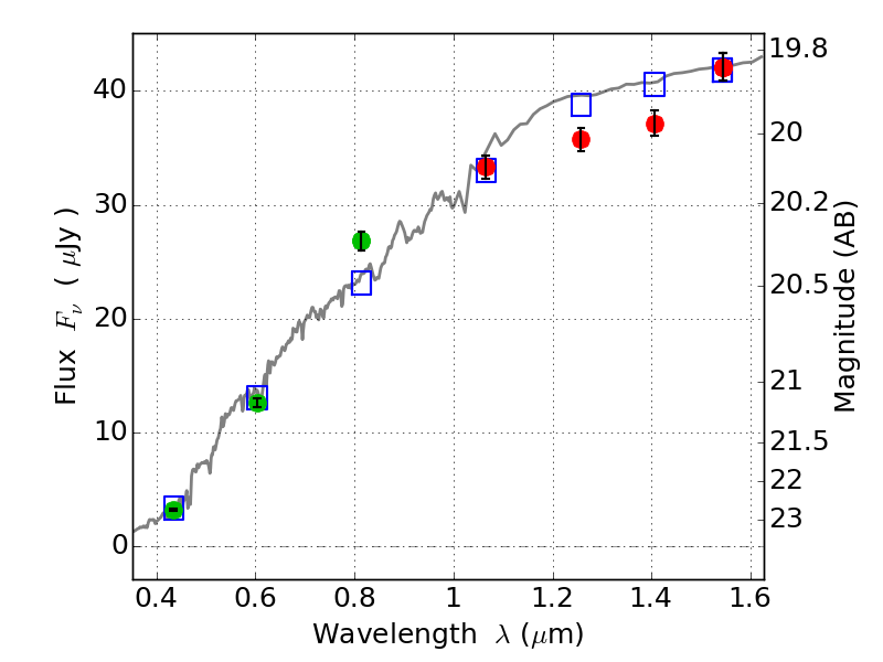
ABELLS295 ACS+IR detection object #3058

Color images and BPZ results
Catalog: 3058.cat
Black segments are analyzed here.   Roll mouse over color images to view segments.
Best viewed in a wide browser window (1200 pixels or more).   Download SED & P(z) plots to view larger versions.
In P(z) plots: Yellow lines mark the cluster redshift z = 0.300,  

Object #3058   x,y = (1967, 2645)   RA, Dec = (02:45:33.072, -53:02:18.60) = (41.38780, -53.03850)   BPZ = 0.185 [0.160--0.206]   type = 4.00 (Ell4_A_0)   chisq2 = 0.81   ODDS = 1.00   z_cluster = 0.300