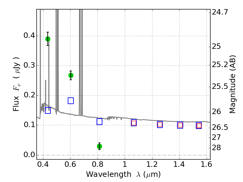
ABELLS295 ACS+IR detection object #3021

Color images and BPZ results
Catalog: 3021.cat
Black segments are analyzed here.   Roll mouse over color images to view segments.
Best viewed in a wide browser window (1200 pixels or more).   Download SED & P(z) plots to view larger versions.
In P(z) plots: Yellow lines mark the cluster redshift z = 0.300,  

Object #3021   x,y = (786, 2718)   RA, Dec = (02:45:40.920, -53:02:13.92) = (41.42050, -53.03720)   BPZ = 0.019 [0.010--0.043]   type = 11.00 (SB11_A_0_l)   chisq2 = 157.30   ODDS = 0.98   z_cluster = 0.300